网站首页
学院概况
+
学院简介
发展历史
领导班子
机构设置
联系我们
新闻公告
+
新闻动态
通知公告
师资队伍
+
教学科研人员
党政工作人员
离退休人员
人才培养
+
本科生教育
研究生教育
教学管理
教学成果
学术科研
+
学术动态
科研机构
科研工作
党群工作
+
党建工作
工会工作
专题专栏
学生园地
+
团学之声
学生风采
作品荟萃
校友之家
+
校友动态
招生就业
+
本科招生
研究生招生
就业信息
创新创业
人才招聘
新闻公告
新闻动态
通知公告
通知公告
当前位置:
网站首页
>
新闻公告
>
通知公告
> 正文
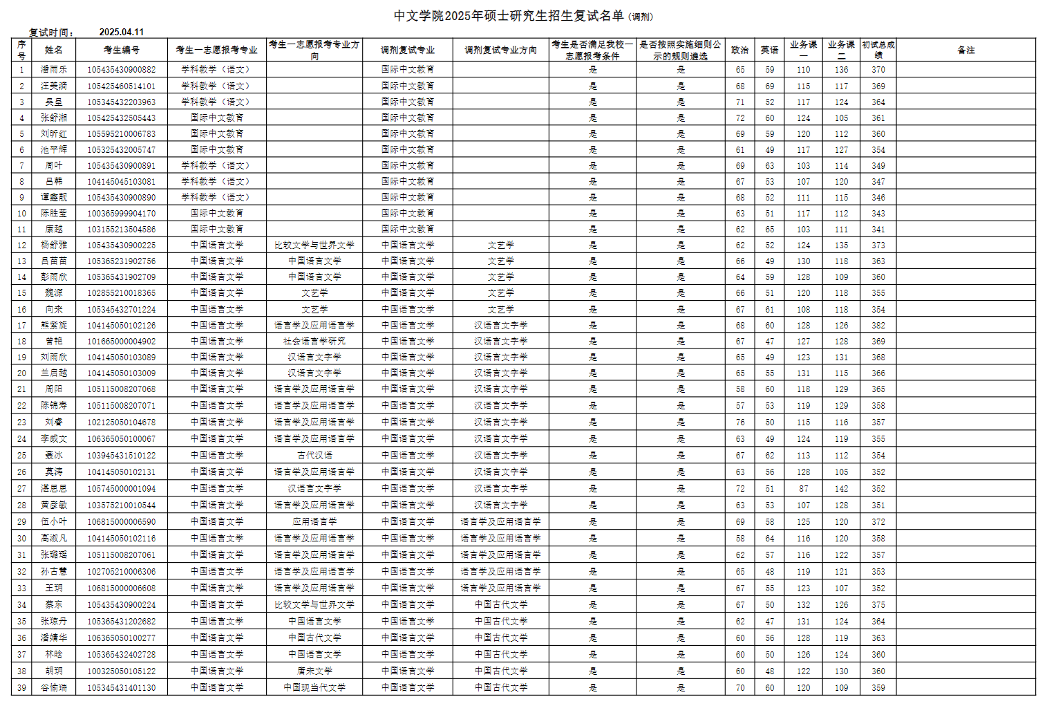
中文学院2025年硕士研究生招生调剂复试名单
发布人:
发表时间:2025-04-09 16:24
点击:次
中文学院2025年硕士研究生招生调剂复试名单